三基膦與(yu) 有機疊氮化合物反應生成亞(ya) 氨基膦烷脫氧反應三基膦廣泛地應用於(yu) 過氧化氫或內(nei) 過氧化物的還原中,反應與(yu) 底物有關(guan) ,可生成醇、羰基化合物或環氧化物。這類反應的主要驅動力是三基膦與(yu) 相對較弱的O...
三基膦與(yu) 有機疊氮化合物反應生成亞(ya) 氨基膦烷
脫氧反應
三基膦廣泛地應用於(yu) 過氧化氫或內(nei) 過氧化物的還原中,反應與(yu) 底物有
關(guan) ,可生成醇、羰基化合物或環氧化物。這類反應的主要驅動力是三基膦與(yu) 相對較弱的O-O 鍵(188~209 kJ/mol) 能形成較強的P=O鍵。例如,利用三基膦可以還原分解臭氧化物、選擇性製備酮和醛

與(yu) 疊氮化物的反應【Staudinger還原】
三基膦與(yu) 有機疊氮化合物反應生成亞(ya) 氨基膦烷
亞(ya) 氨基膦烷是一種較活潑的親(qin) 核試劑,易與(yu) 親(qin) 電試劑反應。如與(yu) 醛和酮反應生成亞(ya) 胺和三基膦氧化物。這個(ge) 反應與(yu) Wittig反應相似,稱作aza-Wittig 反應,這個(ge) 反應的驅動力也是由於(yu) 三基氧膦的生成

與(yu) 有機硫化物的反應【Eschenmoser脫硫反應】
室溫下三基膦可以使環硫化合物轉化為(wei) 烯烴
脫鹵反應

α-溴代酮與(yu) 三基膦反應生成酮
與(yu) 有機環氧化物的反應
在水和丙酮溶劑中回流,三基膦可以使環氧化合物在疊氮化鈉參與(yu) 下轉化為(wei) 環亞(ya) 胺 (式6)[6]。
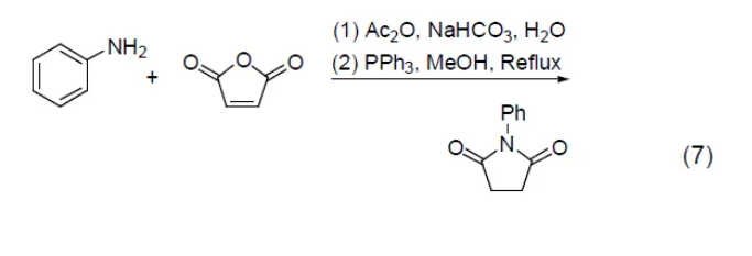
取代吡咯的製備

胺、呋喃二酮與(yu) 三基膦反應生成-基-吡咯二酮

作金屬催化劑的配體(ti) 【金屬催化反應小結】
它作為(wei) 配體(ti) 與(yu) 許多過渡金屬組成金屬催化劑,是一種重要的催化劑[8],常用於(yu) 催化偶聯反應的進行,是構建碳-碳鍵的一種重要方法,其特點是催化條件溫和。硼酸與(yu) 芳香鹵代烴直接反應生成聯類化合物,該反應的產(chan) 率達到了90%除了硼酸和鹵代物以外,鎂試劑、鋅試劑、錫試劑、矽化合物等均可作為(wei) 偶聯反應的底物。

鹵代物的製備【Appel反應】
利用Appel反應將醇轉化為(wei) 鹵代物。
三基膦/咪唑/碘體(ti) 係碘代反應
利用三基膦溴化物製備脂肪溴代物

酰胺的製備【三基膦類縮合劑製備酰胺】
Mitsunobu反應
利用偶氮二羧酸酯(通常為(wei) 偶氮二羧酸二乙酯,DEAD)和三取代膦化物(通常為(wei) 三基膦),親(qin) 核試劑和醇進行SN2反應構型翻轉得到構型相反的取代產(chan) 物的反應。

