摘要本發明了一種高固含聚氨酯油墨樹脂、製備方法及其應用,所述樹脂由包含以下質量份組分的原料反應製得:合物多元醇28~46份,多異氰酸酯3~15份,功能型胺類擴鏈劑E2~9份,功能型封端劑T0.1~13份,溶劑3...
摘要
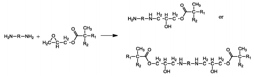
本發明了一種高固含聚氨酯油墨樹脂、製備方法及其應用,所述樹脂由包含以下質量份組分的原料反應製得:合物多元醇28~46份,多異氰酸酯3~15份,功能型胺類擴鏈劑E2~9份,功能型封端劑T0.1~13份,溶劑30~60份。本發明的聚氨酯樹脂在45%固含以上時仍具有較低的粘度和較高的分子量,製備的油墨具有優(you) 異的流平性,附著牢度,和抗黏連性能等。
其中,所述聚合物多元醇指的是聚酯多元醇或聚醚多元醇,聚酯多元醇為(wei) 由二元醇與(yu) 二元酸縮聚生成的端羥基聚酯化合物。所述二元醇實例包括但不限於(yu) 乙二醇、1,2‑丙二醇、1,3‑丙二醇、甲基丙二醇、1,3‑丁二醇、1,4‑丁二醇、新戊二醇、1,6‑己二醇、3‑甲基‑1,5‑戊二醇、1,4‑環己基二醇、二羥基二碸、2,2‑二(4‑羥基基)丙烷、4,4’‑二羥基二基甲烷中的至少任一種;所述二元酸的實例包括但不限於(yu) 癸二酸、己二酸、壬二酸、對二甲酸、間二甲酸、鄰二甲酸中的至少任一種。優(you) 選地,所述聚酯多元醇的官能度為(wei) 2。

作為(wei) 所述聚醚多元醇指的是由羥基化合物起始、環氧烷聚合而成的化合物,常用作為(wei) 起始劑的羥基化合物實例包括但不限於(yu) 乙二醇、二甘醇、1,2‑丙二醇、1,3‑丙二醇、二丙二醇、1,2‑丁二醇、1,3‑丁二醇、1,4‑丁二醇、己二醇、戊二醇、3‑甲基‑1,5‑戊二醇、1,8‑辛二醇、1,9‑壬二醇、1,12‑十二烷二醇、鄰二酚、間二酚、雙酚F、雙酚A中的至少任一種。環氧烷實例包括但不限於(yu) 環氧乙烷、環氧丙烷、環氧丁烷中的至少任一種。所述聚合物多元醇的數均分子量為(wei) 400~6000,例如包括但不限於(yu) 800、1500、2000、3000、4000、5000,優(you) 選1000~4000。
其中,所述多異氰酸酯的實例包括但不限於(yu) 二異氰酸酯(TDI)、二基甲烷二異氰酸酯(MDI)、異佛爾酮二異氰酸酯(IPDI)、六亞(ya) 甲基二異氰酸酯(HDI)、二環己基甲烷二異氰酸酯(HMDI)、萘二異氰酸酯(NDI)、對二異氰酸酯(PPDI)、1,4‑環己烷二異氰酸酯(CHDI)、二亞(ya) 甲基二異氰酸酯(XDI)、環己烷二亞(ya) 甲基二異氰酸酯(HXDI)、三甲基‑1,6‑六亞(ya) 甲基二異氰酸酯(TMHDI)、四甲基間二亞(ya) 甲基二異氰酸酯(TMXDI)、降冰片烷二異氰酸酯(NBDI)、二甲基聯二異氰酸酯(TODI)、甲基環己基二異氰酸酯(HTDI)中的至少任一種。優(you) 選地,所述多異氰酸酯為(wei) 二異氰酸酯(TDI)、異佛爾酮二異氰酸酯(IPDI)、六亞(ya) 甲基二異氰酸酯(HDI)、二環己基甲烷二異氰酸酯(HMDI)中的一種或多種。

所述步驟3)中異氰酸酯預聚體(ti) 的合成中,所述催化劑可以采用本領域常用的催化劑,其實例包括但不限於(yu) 為(wei) 二二甲基錫、二丁酸二丁基錫、二(2‑乙基己酸)二丁基錫、二月桂酸二丁基錫、二月桂酸二辛基錫、二辛酸鋅(II)、乙酰丙酮酸鋯、2,2,6,6‑四甲基‑3,5‑庚烷二酮酸鋯和2‑乙基己酸鉍中的至少任一種;優(you) 選二月桂酸二丁基錫、新癸酸鉍和2‑乙基己酸鉍,進一步優(you) 選新癸酸鉍和2‑乙基己酸鉍。
其中,所述的溶劑選自酯類、仲醇、叔醇類溶劑中的一種或多種;優(you) 選、正丙酯、異丙酯、正丁酯、異丁酯、異丙醇中的一種或多種,更優(you) 選為(wei) 、正丙酯和異丙醇中的一種或多種。需要說明的是,所述步驟2)和步驟3)中的溶劑所采用的具體(ti) 種類可以相同或不同,起到的作用是稀釋溶解,不影響本發明的實施。
